수식:

1. 의미:
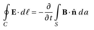
이식은 전자기학에서 중요한 벡터 미분 방정식 중 하나인 Faraday's Law of Electromagnetic Induction을 나타내는 수식입니다. 이 식은 자기장이 변할 때 전기장이 유도되는 현상을 설명하는 데 사용됩니다.
이식은 두 가지 항으로 구성됩니다. 좌변의 항은 폐곡선 적분을 나타내며, 우변의 항은 면적 적분을 나타냅니다.
폐곡선 적분은 전기장 E와 적분 경로 C를 곱한 값의 적분을 의미합니다. 이 값은 적분 경로를 따라 전기장이 얼마나 일을 하는지 나타냅니다.
면적 적분은 자기장 B와 면적 S을 곱한 값의 적분을 의미합니다. 이 값은 자기장이 면적을 통해 얼마나 많은 자기적인 흐름이 일어나는지 나타냅니다.
이식은 자기장이 변할 때 전기장이 유도되는 현상을 설명합니다. 자기장이 변할 때, 그 자기장 내에 있는 전위차가 변화하게 되고, 이러한 전위차에 따라 전기장이 유도됩니다. 이러한 현상은 전자기 변환기, 전자기 모터, 전자기 발전기, 무선통신 등 다양한 분야에서 중요한 역할을 합니다.
이식은 또한 야코비안(Jacobian) 행렬을 이용하여 일반적인 벡터 미분 방정식으로 표현될 수 있으며, 이는 전자기장을 포함하여 다양한 물리학적 문제를 다루는 데 활용됩니다.
2. 수식 기호별 의미:
- ∮: 전자기학에서 이 기호는 폐곡선 적분을 나타냅니다. 폐곡선이란 시작점과 끝점이 같은 곡선을 말합니다.
- E: 전기장을 나타내는 벡터입니다. 이 벡터는 일반적으로 단위 전하량당 일정한 방향을 갖습니다.
- dl: 적분 경로의 미소 거리를 나타내는 벡터입니다.
- C: 적분 경로를 나타내는 폐곡선입니다.
- B: 자기장을 나타내는 벡터입니다.
- n ˆ: C의 각 점에서의 단위 법선 벡터입니다.
- da: 적분 경로와 수직인 면적의 미소 요소를 나타내는 벡터입니다.
- S: 면적을 나타내는 폐곡면입니다.
- ∂/∂t: 시간에 대한 편미분 연산자입니다.
3. 활용방안:
Faraday의 전자기 유도 법칙은 전자기학에서 매우 중요한 역할을 합니다. 이 식은 전기 변환기, 전자기 모터, 전자기 발전기, 무선통신, 전자기장 감지기 등 다양한 분야에서 사용됩니다. 이식을 활용하여 전자기장과 전기장의 상호작용을 설명하고 예측할 수 있습니다. 또한, 전자기장이 어떻게 유도되는지에 대한 이해는 전자기학을 이해하는 데 매우 중요합니다.
- 전자기 변환기(Transformer) 이식은 전자기 변환기의 기본 원리를 설명하는 데 사용됩니다. 전자기 변환기는 전기적 에너지를 변환하여 전압과 전류의 크기를 변화시키는 데 사용됩니다. 이식은 자기장이 변할 때 유도되는 전기장의 크기를 결정하는 데 사용됩니다.
- 전자기 발전기(Generator) 이식은 전자기 발전기의 원리를 설명하는 데 사용됩니다. 전자기 발전기는 기계적인 에너지를 전기 에너지로 변환하는 데 사용됩니다. 이식은 자기장이 변할 때 유도되는 전기장이 회전자를 통해 전기적 에너지로 전환되는 과정을 설명하는 데 사용됩니다.
- 전자기 모터(Motor) 이식은 전자기 모터의 원리를 설명하는 데 사용됩니다. 전자기 모터는 전기 에너지를 기계적인 에너지로 변환하는 데 사용됩니다. 이식은 전자기 모터 내에서 자기장이 변할 때 유도되는 전기장이 회전자를 회전시키는 데 사용됩니다.
- 무선통신(Wireless communication) 이식은 무선통신의 원리를 설명하는 데 사용됩니다. 무선통신에서는 전자기파를 이용하여 데이터를 전송합니다. 이식은 전자기파의 발생 원리를 설명하는 데 사용됩니다.
- 전자기장 감지기(Sensor) 이식은 전자기장 감지기의 원리를 설명하는 데 사용됩니다. 전자기장 감지기는 자기장이나 전기장 등의 전자기적 신호를 감지하여 신호를 처리하는 데 사용됩니다. 이식은 전자기장이 변할 때 감지기 내부에 유도되는 전기장을 측정하는 데 사용됩니다.
- 컴퓨터 시뮬레이션(Computer simulation) 이식은 전자기장이나 전기장의 상호작용을 모사하는 데 사용됩니다. 컴퓨터 시뮬레이션을 통해 전자기장이나 전기장의 상호작용을 예측하고 설계할 수 있습니다. 이식은 전자기장이 변할 때 유도되는 전기장의 크기와 방향을 고려하여 시뮬레이션을 수행하는 데 사용됩니다.
이외에도, 이식은 전자기학을 이해하는 데 매우 중요합니다. 이식을 활용하여 전자기장과 전기장의 상호작용을 설명하고 예측할 수 있습니다. 전기장과 자기장의 상호작용은 전자기학의 기본 개념 중 하나이며, 이는 전자기학을 이해하는 데 필수적입니다.
또한, 이식은 전자기학에서 매우 중요한 벡터 미분 방정식 중 하나입니다. 이 식은 다른 벡터 미분 방정식과 함께 사용될 때, 전자기장을 포함하여 다양한 물리학적 문제를 다루는 데 사용됩니다. 이를 통해 전기장과 자기장의 상호작용을 이해하고 예측할 수 있습니다.
이식은 또한 다양한 물리학적 실험에서 사용됩니다. 실험을 통해 자기장이 변할 때 유도되는 전기장의 크기와 방향을 측정할 수 있으며, 이는 전자기학에서 매우 중요한 정보입니다.
마지막으로, 이식은 다른 과학 분야에서도 널리 사용됩니다. 이식은 광학, 의학, 물리학 등의 분야에서도 사용되며, 전자기장의 원리를 이해하는 데 매우 중요합니다. 예를 들어, 자기공명영상(Magnetic Resonance Imaging, MRI)은 이식을 기반으로 동작합니다. MRI는 자기장을 사용하여 인체 내부를 촬영하는데 사용되며, 이를 위해 이식의 원리를 이해하는 것이 필요합니다.
4. Code:
import matplotlib.pyplot as plt
# 벡터 필드 생성 함수 정의
def generate_vector_field(X, Y, t):
E_x = np.sin(X) * np.cos(Y) * np.exp(-t)
E_y = -np.cos(X) * np.sin(Y) * np.exp(-t)
B_z = np.sin(X) * np.sin(Y) * np.exp(-t)
return E_x, E_y, B_z
# 그리드 생성
x = np.linspace(-2 * np.pi, 2 * np.pi, 100)
y = np.linspace(-2 * np.pi, 2 * np.pi, 100)
X, Y = np.meshgrid(x, y)
# 시간 변수 설정 (시간에 따라 전자기 유도를 시각화)
t = 0
# 벡터 필드 계산
E_x, E_y, B_z = generate_vector_field(X, Y, t)
# 전기장의 크기 및 자기장의 크기 계산
E_magnitude = np.sqrt(E_x**2 + E_y**2)
B_magnitude = np.abs(B_z)
# 2D 등고선 플롯 생성
fig, (ax1, ax2) = plt.subplots(1, 2, figsize=(14, 5))
# 전기장 크기 등고선 플롯
cp1 = ax1.contourf(X, Y, E_magnitude, cmap="coolwarm")
ax1.set_title("Electric Field Magnitude")
ax1.set_xlabel("X")
ax1.set_ylabel("Y")
fig.colorbar(cp1, ax=ax1, label="Electric Field Magnitude")
# 자기장 크기 등고선 플롯
cp2 = ax2.contourf(X, Y, B_magnitude, cmap="coolwarm")
ax2.set_title("Magnetic Field Magnitude")
ax2.set_xlabel("X")
ax2.set_ylabel("Y")
fig.colorbar(cp2, ax=ax2, label="Magnetic Field Magnitude")
plt.tight_layout()
# 사용된 수식 추가
used_formula = r"$E_x = \sin(x) \cos(y) e^{-t}$" + "\n" + r"$E_y = -\cos(x) \sin(y) e^{-t}$" + "\n" + r"$B_z = \sin(x) \sin(y) e^{-t}$"
fig.text(0.5, 0.02, used_formula, ha="center", va="center", fontsize=10, transform=plt.gcf().transFigure)
plt.show()
5. Code설명 및 결과:
이 시각화에서는 Faraday의 법칙을 나타내는 요소를 표현하고 있습니다.
이 코드는 2차원 벡터 필드를 생성하고, 시간에 따라 전기장과 자기장의 크기를 시각화하는 것입니다. 이를 통해, Faraday's Law of Electromagnetic Induction에서 등장하는 벡터들의 크기 및 방향을 시각적으로 이해할 수 있습니다.
아래는 코드에서 사용된 함수들의 의미를 설명합니다:
1) generate_vector_field(X, Y, t) 함수는 주어진 X, Y 그리드 및 시간 변수 t에 대한 전기장 및 자기장의 값을 계산합니다. 이 함수는 다음과 같은 임의의 수식을 사용합니다:
Ex=sin(x)cos(y)e−t
Ey=−cos(x)sin(y)e−t
Bz=sin(x)sin(y)e−t
여기서 E_x와 E_y는 전기장 벡터의 x, y 성분이고, B_z는 자기장 벡터의 z 성분입니다.
2) 코드에서는 주어진 X, Y 그리드에 대해 전기장 벡터와 자기장 벡터의 크기를 계산합니다. 전기장 벡터의 크기는 다음과 같이 계산됩니다:자기장 벡터의 크기는 B_z의 절대값으로 계산됩니다.
Emagnitude=Ex2+Ey2
3) 코드는 전기장 벡터의 크기와 자기장 벡터의 크기를 2D 등고선 플롯으로 시각화합니다. 이 시각화는 각 벡터의 크기를 색상으로 나타냅니다. 전기장과 자기장의 크기가 클수록 밝은 색상으로 표시되고, 작을수록 어두운 색상으로 표시됩니다.
코드에서 직접적으로 Faraday의 법칙을 계산하거나 사용하지는 않지만, 전기장과 자기장의 상호 작용을 나타내는 이 법칙을 시각적으로 표현하는 데 도움이 됩니다. 여기서는 간단한 예제를 사용했지만, 이 방법을 사용하여 실제 전자기 유도 문제를 시각화하고 이해하는 데 도움이 될 수 있습니다

'[Python][Physics]' 카테고리의 다른 글
| [Python][Physics]#18 입자 분포 밀도와 자유 입자 밀도의 합산으로 나타낸 총 밀도 함수(시각화) (0) | 2023.05.09 |
|---|---|
| [Python][Physics]#17 Ampere's law의 전류 밀도에 따른 자기장 회전(시각화) (0) | 2023.05.08 |
| [Python][Physics]#15 자기장 발산식 '∇⋅B=0' 의 이해(시각화) (0) | 2023.05.07 |
| [Python][Physics]#14 자기장에 대한 Biot-Savart 법칙 일반화(시각화) (0) | 2023.05.07 |
| [Python][Physics]#13 Gauss' law(가우스 법칙) 의 이해(시각화) (1) | 2023.05.06 |