Luke's Study Space

  • 홈
  • 태그
  • 방명록

vector 1

[Python][Physics]#02 전기장 벡터의 3차원(시각화)

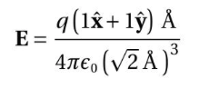
해당 파이썬 코드는 전하 크기와 위치에 따라 발생하는 전기장 벡터를 3차원으로 시각화하는 것입니다. 예시 코드에서는 주어진 전기장 벡터 함수를 이용하여 그리드를 생성하고, 그리드 상의 각 점에서의 전기장 벡터를 계산하여 3D 그래프로 표현합니다. 따라서 코드 실행 결과로는 전기장 벡터의 방향과 크기를 보여주는 3D 그래프가 생성됩니다. 수식: code: import numpy as np import matplotlib.pyplot as plt from mpl_toolkits.mplot3d import Axes3D # 전하 크기와 거리 설정 q = 1 A = 1 # 전기장 함수 def E(x, y, z): r = np.sqrt(x**2 + y**2 + z**2) Ex = q*(1/r**2)*(x/r) Ey..

[Python][Physics] 2023.05.04
이전
1
다음
더보기
프로필사진

Study space for physics

  • 분류 전체보기 (30)
    • [Python][Physics] (24)
    • [Python][Graph] (0)
    • [Python][Lens] (4)

Tag

라플라시안, Lens, 자기장, code, 전기장, 열전달, Python, 복소수, 코딩, Gauss, 코드, electric field, Maxwell, formula, Physics, 파이썬, coding, 가우스, Laplacian, 벡터,

최근글과 인기글

  • 최근글
  • 인기글

최근댓글

공지사항

페이스북 트위터 플러그인

  • Facebook
  • Twitter

Archives

Calendar

«   2026/02   »
일 월 화 수 목 금 토
1 2 3 4 5 6 7
8 9 10 11 12 13 14
15 16 17 18 19 20 21
22 23 24 25 26 27 28

방문자수Total

  • Today :
  • Yesterday :

Copyright © Kakao Corp. All rights reserved.

티스토리툴바