coding 16

[Python][Physics]#23 전기장의 시공간 변화를 모델링하는 편미분 방정식(시각화)

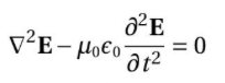
수식: 1. 이 식의 의미와 목적: ∇²𝐸 - μ₀ϵ₀(∂²𝐸/∂t²) = 0은 맥스웰의 방정식 중 하나로, 전자기학의 중요한 개념을 나타냅니다. 이 식은 전자기장의 공간적인 변화와 시간적인 변화 간의 관계를 설명하고, 전자기장의 동적인 특성을 나타내는 방정식입니다. 우선, 식 ∇²𝐸 - μ₀ϵ₀(∂²𝐸/∂t²) = 0에서 ∇²𝐸는 전자기장의 공간적인 변화를 측정하는 라플라시안(Laplacian) 연산자입니다. 이 연산자를 이용하여 전자기장의 공간적인 변화에 대한 미분을 계산합니다. 그리고 ∂²𝐸/∂t²는 시간에 대한 전자기장의 두 번째 도함수로, 전자기장의 시간적인 변화율을 측정합니다. 이 식을 통해 전자기장이 시간에 따라 어떻게 변화하는지를 나타낼 수 있습니다. 따라서 식 ∇²𝐸 - μ₀ϵ₀(∂²𝐸/..

[Python][Physics] 2023.05.14

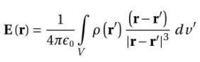
[Python][Physics]#18 입자 분포 밀도와 자유 입자 밀도의 합산으로 나타낸 총 밀도 함수(시각화)

수식: 1. 의미: 위의 식은 자유 입자의 밀도와 입자의 분포 밀도를 합산하여 총 밀도 함수를 나타내는 수식입니다. 총 밀도 함수는 3차원 공간에서의 밀도 분포를 나타내며, 이를 이용하여 입자나 물질의 분포를 모델링하고 분석할 수 있습니다. 2. 수학기호: ρ(x,y,z)=ρfree(x,y,z)+ρp(x,y,z)ρ(x,y,z)=ρfree​(x,y,z)+ρp​(x,y,z) 여기서, x, y, z는 3차원 공간의 좌표축을 의미하며, ρ(x,y,z)는 해당 좌표에서의 총 밀도를 의미합니다. ρfree​(x,y,z)는 자유 입자의 밀도 함수를 나타내며, ρp​(x,y,z)는 입자의 분포 밀도 함수를 나타냅니다. 기호들은 각각 3차원 좌표계에서의 위치에 따라 밀도 값을 나타내는 함수들입니다. 총 밀도 함수는 자유..

[Python][Physics] 2023.05.09

[Python][Physics]#17 Ampere's law의 전류 밀도에 따른 자기장 회전(시각화)

수식: 식의 의미: '∇×B=μ0​J'은 벡터 해석학에서 중요한 기본 방정식 중 하나로, 자기장(B)과 전류 밀도(J) 간의 관계를 나타내는 회전 방정식(Curl equation)입니다. 이를 간단하게 설명하자면, 전류가 흐르는 곳에서 자기장이 발생한다는 것을 나타내는 식입니다. 자기장이 회전을 한다는 것을 의미하는 회전(Curl) 연산자인 '∇×'를 이용하여 자기장(B)의 회전율과 전류 밀도(J)의 비례 관계를 나타내고 있습니다. 수학기호 별 수식(수학기호로 표현해줘) ∇ : '델' 기호로, 벡터미적분학에서 그레디언트(gradient), 발산(divergence), 회전(Curl)을 나타내는 기호입니다. × : '크로스' 기호로, 벡터의 외적을 나타냅니다. 벡터의 외적은 두 벡터 사이의 평면에 수직한 ..

[Python][Physics] 2023.05.08

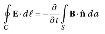
[Python][Physics]#16 Faraday's Law의 전자기 유도 현상 (시각화)

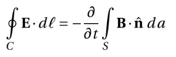
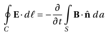
수식: 1. 의미: 이식은 전자기학에서 중요한 벡터 미분 방정식 중 하나인 Faraday's Law of Electromagnetic Induction을 나타내는 수식입니다. 이 식은 자기장이 변할 때 전기장이 유도되는 현상을 설명하는 데 사용됩니다. 이식은 두 가지 항으로 구성됩니다. 좌변의 항은 폐곡선 적분을 나타내며, 우변의 항은 면적 적분을 나타냅니다. 폐곡선 적분은 전기장 E와 적분 경로 C를 곱한 값의 적분을 의미합니다. 이 값은 적분 경로를 따라 전기장이 얼마나 일을 하는지 나타냅니다. 면적 적분은 자기장 B와 면적 S을 곱한 값의 적분을 의미합니다. 이 값은 자기장이 면적을 통해 얼마나 많은 자기적인 흐름이 일어나는지 나타냅니다. 이식은 자기장이 변할 때 전기장이 유도되는 현상을 설명합니다..

[Python][Physics] 2023.05.08

[Python][Physics]#15 자기장 발산식 '∇⋅B=0' 의 이해(시각화)

수식: 1. 의미: 주어진 식이 나타내는 것은 벡터장에서의 발산이 0임을 나타내는 것입니다. 발산이란 벡터장에서 벡터가 어떻게 변화하는지를 나타내는 개념으로, 벡터장의 발산이 0이 되면 벡터장에서 변화가 없다는 것을 의미합니다. 이는 물리학에서 중요한 법칙 중 하나인 가우스 법칙의 일부분으로, 자기장에 대한 맥스웰 방정식 중 하나입니다. 자기장은 전자기파 전파, 전자의 운동 및 상호작용 등의 문제에서 매우 중요한 역할을 합니다. 따라서, 이 식은 전자기학에서 매우 중요한 역할을 하며, 자기장 분석 및 예측 등의 다양한 문제를 다루는 데 사용됩니다. 2. 수식 기호별 의미 ∇ : 나블라(Nabla) 연산자로, 벡터함수를 스칼라 함수로 미분하는 연산자입니다. ⋅ : 벡터의 내적(dot product) 연산자..

[Python][Physics] 2023.05.07

[Python][Physics]#14 자기장에 대한 Biot-Savart 법칙 일반화(시각화)

수식: 이 수식은 자기장에 대한 Biot-Savart 법칙을 일반화한 것입니다. 이 수식을 통해 공간 내에 존재하는 전류 분포로부터 발생하는 자기장을 계산할 수 있습니다. 1. 목적/의미:이 식은 전류 밀도 J(r')가 있는 공간에서 어떤 위치 r에서의 자기장 B(r)을 계산하는 방법을 나타냅니다. 이 식은 전기 전류와 관련된 아래와 같이 2가지로 표현됩니다. 1) 전류 밀도 J(r')와 위치 r 사이의 거리에 따른 자기장 B(r)의 크기를 계산하는 방법을 제공합니다. 여기서 μ₀는 자기 permeability 상수이고, ∇r는 위치 벡터 r에 대한 기울기 연산자입니다. 2) 전류 밀도 J(r')에 의한 자기장 B(r)를 계산하기 위해 벡터적분학의 연산자인 회전(또는 크롤, curl)을 사용합니다. 이 ..

[Python][Physics] 2023.05.07

[Python][Physics]#13 Gauss' law(가우스 법칙) 의 이해(시각화)

수식: 1. 목적: Gauss' law를 나타내는 식입니다. 전기장의 흐름을 나타내는 법칙으로, 전하 밀도 ρ에 의해 생성되는 전기장 E를 나타냅니다. Gauss' law에서 이 식(적분 변환)은 전기장의 분포와 전하 밀도 사이의 상호작용을 나타내는데 중요한 역할을 합니다. 물리적, 광학 분야에서 모두 중요한 의미를 가지고 있습니다. 1) 전자기학 측면: 이 식은 전하 밀도 ρ가 연속적으로 분포되어 있을 때, 그 분포에서 생성되는 전기장의 크기와 방향을 계산하는데 사용됩니다. 이를 통해 전기장이 발생하는 전하 밀도와의 상호작용을 나타내며, 전기장이 생성되는 공간 내에서 전하의 운동을 예측하는데 활용됩니다. 또한, 이식은 대칭적인 전하 분포에서 생성되는 전기장 크기 및 방향을 예측할 때 계산을 더욱 간단하..

[Python][Physics] 2023.05.06

[Python][Physics]#12 Fourier 변환과 광학 분야에서의 응용(시각화)

1. 목적: 이 글의 목적은 광학에서 자주 사용되는 Fourier 이론에 대한 개요를 제공하는 것입니다. 글에서는 Fourier expansion, Fourier integral theorem, Fourier transform 등의 개념이 소개되고, 이를 통해 광학 분야에서 어떻게 활용될 수 있는지가 설명됩니다. 2. 사용된 수학식에 대한 설명 1) Fourier expansion (푸리에 전개): 푸리에 전개는 주기적인 함수를 코사인 및 사인 항들의 합으로 표현하는 방법입니다. 여기서 a_n과 b_n은 각각 코사인 및 사인 항의 계수이며, Δω는 기본 주파수의 배수입니다. 주기적인 함수를 주어진 주파수의 코사인 및 사인 함수들의 합으로 분해할 수 있으며, 이를 통해 함수를 다루기 쉬운 형태로 나타낼 수..

[Python][Physics] 2023.05.06

[Python][Physics]#11 Sylvester의 정리를 이용한 행렬의 회전 변환 각도 계산(시각화)

수식: Sylvester의 정리는 2x2 행렬의 행렬식이 1일 때, 해당 행렬의 회전 변환에 대한 각도(cosine angle)를 계산하는 공식입니다 1. 목적 Sylvester의 정리는 2x2 행렬의 행렬식이 1일 때, 해당 행렬의 각각의 각도에 대한 코사인 값을 계산하는 공식입니다. 이 공식은 회전 변환(rotation transformation)과 같은 기하학적 문제를 해결하는 데에 사용됩니다. 2. 수식 기호별 의미: 주어진 2x2 행렬 A = [a, b; c, d]의 행렬식이 1인 경우, 다음과 같은 공식이 성립합니다: cos⁡θ = 1/2(A+D) 여기서, θ: A가 회전 변환으로 표현될 때, 해당 회전 변환의 각도 (단위: 라디안) A: 주어진 2x2 행렬 D: A의 주 대각선 요소(diag..

[Python][Physics] 2023.05.05

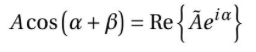
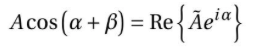
[Python][Physics]#10 복소수 표현을 사용한 삼각함수의 곱셈 공식(시각화)

수식: 이 수식은 복소수 표현을 사용하여 삼각함수의 곱셈 공식을 나타내고 있습니다. 이 수식을 자세히 살펴보겠습니다. 이식이 나타내는 것: 수식은 cos(α+β)를 A와 관련된 복소수 표현식으로 나타낸 것입니다. 여기서 A는 cos(α+β)의 계수이며, α와 β는 각각의 각도입니다. 이 수식은 cos(α+β)와 A * e^(iα)의 실수부 Re{A * e^(iα)} 사이의 관계를 보여줍니다. 이식의 목적과 의미: 이 수식의 목적은 삼각함수의 곱셈 공식을 복소수 형태로 나타내어 복소수 표현을 이용한 삼각함수의 성질과 관계를 보다 쉽게 이해하고 분석할 수 있도록 하는 것입니다. 이를 통해 삼각함수와 복소수 사이의 연결고리를 확인할 수 있으며, 복소수를 이용한 수학적 문제를 다루는 데 도움이 됩니다. 활용 방..

[Python][Physics] 2023.05.05