Python 28

[Python][Physics]#09 복소수에서 쌍곡선 사인(sinh)과 쌍곡선 코사인(cosh) 함수 유도 공식(시각화)

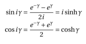
수식: 이 수식은 복소수에서 쌍곡선 사인(hyperbolic sine, sinh)과 쌍곡선 코사인(hyperbolic cosine, cosh) 함수를 유도하는 공식을 나타냅니다. 이 수식을 자세히 살펴보겠습니다. 이식이 나타내는 것: 이 수식은 복소수 공간에서 쌍곡선 사인 함수와 쌍곡선 코사인 함수를 유도하는 공식입니다. 이 공식에 따르면, 쌍곡선 사인 함수 sinh(γ)는 복소수 i와 각 γ의 곱의 사인 함수 sin(iγ)와 관련되어 있습니다. 마찬가지로, 쌍곡선 코사인 함수 cosh(γ)는 복소수 i와 각 γ의 곱의 코사인 함수 cos(iγ)와 관련되어 있습니다. 이식의 목적과 의미: 이 공식의 목적은 복소수에서의 삼각함수와 쌍곡선 함수 사이의 관계를 설명하는 것입니다. 이 관계를 통해 복소수 영역에..

[Python][Physics] 2023.05.05

[Python][Physics]#08 오일러 공식(Euler's formula)(시각화)

수식: 이 식은 오일러 공식(Euler's formula)이라고도 불리며, e, i, pi, cos, sin 등 다양한 수학적 개념이 하나로 합쳐진 식입니다. 1. 이식이 나타내는 것: 이 식은 e, i, pi, cos, sin 등의 수학적 개념을 하나의 식으로 표현하여 수학적인 계산을 단순하게 만들어 주는 역할을 합니다. 또한 이 식은 삼각함수와 지수함수를 연결시켜주는 중요한 역할을 하며, 물리학, 공학, 수학 등 다양한 분야에서 활용되고 있습니다. 2. 목적: e^iϕ=cos⁡ϕ+isin⁡ϕ 이식은 삼각함수와 지수함수를 연결시켜주는 역할을 하므로, 다음과 같은 의미와 활용 방안을 갖습니다. 3. 의미: - 복소수의 지수 표현: e^(ix)는 복소평면 상에서 각도 x에 해당하는 위치의 복소수를 의미합니..

[Python][Physics] 2023.05.05

[Python][Physics]#07 스토크스 정리(Stokes' theorem)(시각화)

수식: 이 식은 스토크스 정리 (Stokes' theorem)이라고 불리며, 벡터 해석학에서 매우 중요한 정리 중 하나입니다. 이 식은 경계선 C를 가지는 면 S에서 벡터장 F의 회전을 나타내는 값과 경계선 C에서 벡터장 F의 선적분값 간의 관계를 나타내며, 다음과 같은 의미를 갖습니다: 1. 이식이 나타내는 것: 면 S의 경계선 C를 따라 일련의 선적분을 수행하여 벡터장 F를 평면에서 둘러싸는 회로에서의 값과, 면 S 내부에서의 벡터장 F의 회전값이 같다는 것을 나타냅니다. 2. 목적: 이 식은 벡터 해석학에서 공간 내의 벡터장의 성질을 이해하는 데 매우 중요합니다. 이를 통해 우리는 벡터장의 회전과 선적분의 관계를 이해하고, 이를 적용하여 다양한 물리적 문제를 해결할 수 있습니다. 3. 의미: 이 식..

[Python][Physics] 2023.05.05

[Python][Physics]#06 가우스 발산 정리(Gauss's Divergence Theorem)(시각화)

수식: 이 식은 벡터장의 플럭스를 계산하는 방법을 나타내며, 가우스 발산 정리(Gauss's Divergence Theorem)라고도 불립니다. 1. 이 식이 나타내는 것: 가우스 발산 정리는 공간적 영역 내에서 벡터장의 발산과 그 영역의 경계면을 따른 벡터장의 플럭스 간의 관계를 나타냅니다. 즉, 공간 영역 V의 경계면 S를 따라 벡터장 F의 플럭스를 적분한 값은, 영역 V 내에서 벡터장 F의 발산을 적분한 값과 같습니다. 2. 이 식의 목적: 가우스 발산 정리의 목적은 다양한 물리적 문제를 해결하는데 도움을 주는 것입니다. 이 정리를 사용하면 복잡한 형상의 영역에 대한 적분을 더 간단한 형태로 변환할 수 있어 계산이 수월해집니다. 3. 이 식의 의미: 이 정리는 벡터장의 발산이 영역 내부에서 발생하는..

[Python][Physics] 2023.05.04

[Python][Physics]#05 벡터 필드 전기장(Electric Field, E)에 대한 라플라시안(Laplacian) 연산자 계산(시각화)

수식: 이 식은 벡터 필드인 전기장(Electric Field, E)에 대한 라플라시안(Laplacian) 연산자를 나타냅니다. 라플라시안 연산자는 스칼라와 벡터 필드에 적용할 수 있는 두 번째 차 도함수를 표현하는데 사용되며, 일반적으로 공간적인 변화에 따른 중요한 물리량의 변화를 나타냅니다. 이 식은 다음과 같은 구성 요소로 이루어져 있습니다. 1. 이식이 나타내는 것: 전기장(E)에 대한 라플라시안 연산자(Δ²E)를 계산합니다. 이 연산자는 전기장의 공간적인 변화를 설명하는 데 도움이 됩니다. 2. 목적: 라플라시안 연산자는 여러 분야에서 물리량의 변화를 분석하는 데 사용됩니다. 전기장의 경우, 라플라시안 연산자를 사용하여 전기장의 국지적인 변화를 분석하거나 전기장의 안정성, 불균일성 등을 평가할 ..

[Python][Physics] 2023.05.04

[Python][Physics]#04 스칼라 함수 f(x, y, z)에 대한 라플라시안(Laplacian) 연산자 정의(시각화)

수식: 이 수식은 스칼라 함수 f(x, y, z)에 대한 라플라시안(Laplacian) 연산자를 정의한 것입니다. 이 식에서 ∇²f(x, y, z)는 라플라시안 값이며, ∇f(x, y, z)는 함수 f의 그래디언트(gradient) 벡터입니다. 이 식은 다음과 같이 해석할 수 있습니다. 1. 이 식이 나타내는 것: 이 식은 스칼라 함수 f(x, y, z)에 대한 라플라시안 연산자를 나타냅니다. 라플라시안 연산자는 그래디언트 벡터의 발산(divergence)을 계산하여, 스칼라 함수의 두 번째 도함수의 합을 구합니다. 2. 목적: 라플라시안 연산자는 스칼라 함수의 국지적인 특성을 분석하는 데 사용됩니다. 함수의 최대점, 최소점 및 안정점을 찾는데 도움이 됩니다. 3. 의미: 라플라시안 값이 양수인 경우, ..

[Python][Physics] 2023.05.04

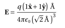
[Python][Physics]#02 전기장 벡터의 3차원(시각화)

해당 파이썬 코드는 전하 크기와 위치에 따라 발생하는 전기장 벡터를 3차원으로 시각화하는 것입니다. 예시 코드에서는 주어진 전기장 벡터 함수를 이용하여 그리드를 생성하고, 그리드 상의 각 점에서의 전기장 벡터를 계산하여 3D 그래프로 표현합니다. 따라서 코드 실행 결과로는 전기장 벡터의 방향과 크기를 보여주는 3D 그래프가 생성됩니다. 수식: code: import numpy as np import matplotlib.pyplot as plt from mpl_toolkits.mplot3d import Axes3D # 전하 크기와 거리 설정 q = 1 A = 1 # 전기장 함수 def E(x, y, z): r = np.sqrt(x**2 + y**2 + z**2) Ex = q*(1/r**2)*(x/r) Ey..

[Python][Physics] 2023.05.04

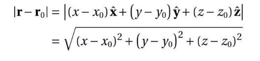
[Python][Physics]#01 3차원 공간에서 두 점 사이의 거리(시각화)

(x, y, z) 좌표를 가진 임의의 점과, (x₀, y₀, z₀) 좌표를 가진 다른 점의 3차원 유클리드 공간에서 두 점 사이의 직선 거리를 구하는 데 사용합니다. 수식 : import matplotlib.pyplot as plt from mpl_toolkits.mplot3d import Axes3D import numpy as np # 두 점의 위치를 설정합니다. x0, y0, z0 = 1, 2, 3 x1, y1, z1 = 4, 5, 6 # 거리 공식을 사용하여 두 점 사이의 거리를 계산합니다. distance = np.sqrt((x1-x0)**2 + (y1-y0)**2 + (z1-z0)**2) # 3D 그래프를 그리기 위한 설정을 합니다. fig = plt.figure() ax = fig.add_s..

[Python][Physics] 2023.05.04